微生物菌剂降解氨氮(NH?-N)主要通过两种生物过程:硝化作用和反硝化作用。这两种过程涉及不同类型的微生物,在不同的环境条件下进行,共同作用下将氨氮转化为无害的氮气(N?),释放回大气中。以下是详细过程:

硝化作用
硝化作用是一个两步的氧化过程,由两类专性自养型细菌完成,通常在有氧环境中进行:
1、亚硝酸菌(Nitrosomonas, Nitrosococcus等)将氨氮氧化成亚硝酸盐(NO??):

2、硝酸菌(Nitrobacter, Nitrospira等)进一步将亚硝酸盐氧化成硝酸盐(NO??):
?

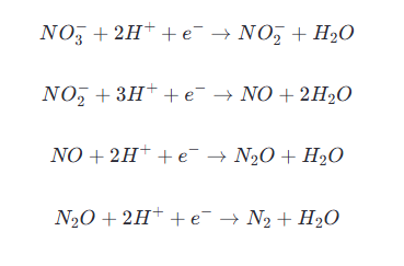
反硝化作用
反硝化作用是由异养型细菌在缺氧或厌氧条件下完成的,它们使用硝酸盐或亚硝酸盐作为电子受体,将它们还原为氮气,同时将有机物作为电子供体:

微生物菌剂的作用
微生物菌剂包含了高浓度的硝化菌和反硝化菌,它们可以快速启动和加速上述过程,特别是在污水处理厂的生物处理单元中。菌剂中的微生物能够在适宜的条件下迅速繁殖,形成优势种群,提高氨氮去除效率。
影响因素
微生物菌剂降解氨氮的效率受到多种因素的影响,包括但不限于:
1、溶解氧水平:硝化作用需要充足的氧气,而反硝化作用则需要缺氧环境。
2、pH值:最适pH范围通常在7.5到8.5之间。
3、温度:微生物活动受温度影响,一般而言,温度越高,微生物活性越强,但过高或过低都会抑制微生物的生长。
4、营养平衡:C:N:P比例应保持适当,以保证微生物的正常生长和代谢。
通过优化这些条件,可以最大限度地发挥微生物菌剂在氨氮降解中的作用,从而实现高效、经济的废水处理。




